Foram encontradas 769 questões.

Considerando que o circuito elétrico esquematizado na figura acima funcione em regime senoidal permanente, julgue os itens a seguir.
Considere que o resistor, o indutor e o capacitor ligados em série constituam uma carga que está ligada aos terminais A e B da fonte. Então, a corrente nessa carga está adiantada em relação à tensão em seus terminais.
Provas

A figura acima mostra um sistema de controle de posição angular de uma peça, a qual faz parte de um kit didático para experimentos de laboratório de uma escola. Cada bloco no diagrama é representado pelas respectivas funções de transferência, conforme descrito na tabela seguir.

Considerando que na descrição acima K é uma constante e s é o operador da transformada de Laplace, julgue os itens que se seguem.
A função de transferência que relaciona a posição angular C(s) e a entrada R(s) é dada por![]()
Provas

A figura acima mostra um sistema de controle de posição angular de uma peça, a qual faz parte de um kit didático para experimentos de laboratório de uma escola. Cada bloco no diagrama é representado pelas respectivas funções de transferência, conforme descrito na tabela seguir.

Considerando que na descrição acima K é uma constante e s é o operador da transformada de Laplace, julgue os itens que se seguem.
Para K>0, o ramo do potenciômetro para controle da posição angular C(s) forma uma malha de realimentação negativa no sistema.
Provas
Provas
Provas

Provas

Provas

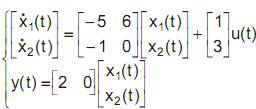
As posições dos pólos no plano s da função de transferência deste sistema são
Provas

Provas

Provas
Caderno Container