Foram encontradas 658 questões.
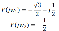
Considere um sistema de controle, cujo valor complexo da função de transferência de malha aberta F(s) é conhecida para duas frequências de interesse w1 e w2:

A partir dos dados desse sistema de controle, os valores da margem de ganho e da margem de fase, respectivamente, são
Provas
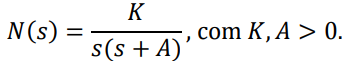
Considere que determinado sistema de controle é representado pela sua função de transferência de malha aberta N(s), dada por

Inicialmente, o valor do ganho do controlador K foi ajustado de forma a tornar o sistema em malha fechada criticamente amortecido.
Caso o ganho K seja ligeiramente aumentado, é esperado que o sistema tenha
Provas
Considere um sistema de controle com realimentação unitária, cuja função de transferência de malha aberta possui um polo na origem. Quanto ao erro de regime permanente ao seguir sinais do tipo degrau e rampa, esse sistema apresentará
Provas
A realimentação unitária é uma das estruturas de controle mais utilizadas para que um determinado sistema alcance o desempenho desejado.
Considere um determinado sistema de controle, composto de um controlador em série com uma planta, onde a saída da planta é Y(s) e a entrada do controlador é a diferença entre a referência do sistema R(s) e a saída da planta Y(s). Sabe-se ainda que tal sistema possui a função de transferência em malha fechada T(s), dada por
\( T(s)=\dfrac{1}{(As+1)} \), com \( A > 0 \)
Nessas condições, a função de transferência em malha aberta desse sistema é
Provas
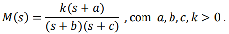
Considere que determinado sistema de controle é representado pela sua função de transferência de malha aberta M(s), dada por

Com relação a estabilidade deste sistema, analise as afirmativas a seguir.
I. É independente do valor do parâmetro k.
II. É independente do valor do parâmetro a.
III. É independente dos valores dos parâmetros b e c.
Está correto o que se afirma em
Provas
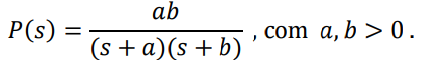
Considere que um processo industrial em malha fechada seja representado pela função de transferência P(s), dada por

Sabendo que a > 5b, a resposta de P(s) ao degrau unitário
Provas
O objetivo principal dos filtros HEPA em sistemas críticos de ar-condicionado utilizados na indústria farmacêutica é:
Provas
Acerca de redes industriais, julgue o item subsequente.
Em redes industriais, podem ser utilizados equipamentos como atuadores e computadores, entretanto os sensores não são permitidos, por suas falhas de segurança.
Provas
No que se refere à sintonia do controlador proporcional-integral-derivativo (PID), julgue o item a seguir.
derivativa do cálculo. 80 Um controlador PID calcula, inicialmente, o erro entre a variável controlada e seu valor desejado.
Provas
No que se refere à sintonia do controlador proporcional-integral-derivativo (PID), julgue o item a seguir.
No algoritmo de um controlador PID digital, se houver erro no cálculo, haverá desalinhamento apenas na etapa derivativa do cálculo.
Provas
Caderno Container