Foram encontradas 88 questões.
O perímetro cefálico ou perímetro craniano é a medida do contorno da cabeça na sua parte maior, que se mede utilizando uma fita métrica, que deve ser situada sobre as orelhas e acima das sobrancelhas. O gráfico a seguir apresenta a evolução do perímetro cefálico (PC) de 0 a 2 anos de idade, em um menino.

(Disponível em: <neuropediatriabh.blogspot.com/2013/10/a-medida-do-perimetro-cefalico.html>. Acesso em: 9 jun. 2019.)
Com base no enunciado e no gráfico, assinale a alternativa correta.
Provas
O obscurantismo do século 21
1 O obscurantismo do século 21 é um fenômeno global. Para alguns arautos da irracionalidade, aliás, a palavra 2 “global” nem faz sentido. É o caso dos terraplanistas, que seguem colecionando adeptos. Em outubro 3 de 2018, um grupo de “pesquisadores” terraplanistas foi recebido por deputados estaduais na Assembleia 4 Legislativa do Mato Grosso do Sul, onde ganharam uma homenagem por seus “estudos” sobre a forma do 5 nosso planeta. O terraplanismo é folclórico. Rende risadas. Mas o fato de sandices como essa ganharem 6 popularidade não tem a menor graça. Primeiro, porque se trata de um sintoma de que parte significativa 7 da população viva hoje desconhece fatos objetivos sobre o mundo – como a Lei da Gravitação, que os 8 terraplanistas dizem ser uma farsa. Segundo, porque estamos descobrindo que quase ninguém sabe dis9 tinguir fatos de opiniões – não se pode ter uma “opinião” sobre o formato da Terra ou sobre a existência da 10 gravidade. Isso pertence ao reino dos fatos.
11 Uma pesquisa do Pew Research Center, feita em 2018, entrevistou 5.035 americanos adultos, que tinham 12 que ler dez frases simples e apontar se eram afirmações factuais ou opiniões. Apenas 26% foram capazes 13 de apontar corretamente as cinco factuais e só 35% conseguiram identificar corretamente as cinco que 14 eram opinativas.
15 Desconectar opiniões dos fatos objetivos é um problema grave. A Terra plana é entretenimento, mas e o 16 movimento antivacinas? A Europa viu um aumento de 400% no número de casos de sarampo em um ano 17 – de 5.273 em 2016 para 21.315 em 2017. E mesmo quando defensores do movimento antivacinas são 18 confrontados com esses números, e com a explicação de que não há evidência de que elas possam causar 19 os males que se atribuem a elas, ainda assim argumentam sobre a “malévola indústria farmacêutica”. E, 20 em último caso, parte-se para um “mas essa é a minha opinião”. Eita.
21 Antes que a ciência entrasse no nosso cotidiano, sem vacinas e antibióticos, a mortalidade infantil era 22 altíssima. Durante o século 19, 30% das crianças nascidas morriam antes de completar cinco anos. Na 23 Alemanha, chegava a 50%.
24 Então, a ciência entrou em cena, com três contribuições essenciais: o saneamento básico, o desenvolvi25 mento dos antibióticos e a criação das vacinas. O ser humano passou milhares de anos tentando proteger 26 sua prole com rezas, chás e superstições de todo tipo, mas o que deu certo foi entender como as doenças 27 funcionam e combatê-las com armas eficazes. 28 Em 2015, a mortalidade infantil era, em termos globais, de 4,3%. No Brasil, no mesmo ano, era só de 1,7%. 29 Na Suécia, dado de 2014, 0,3%.
30 Outro tema adorado pela turma do “mas essa é a minha opinião” é a mudança climática. Pouco importa 31 que a NASA apresente fartas evidências do aquecimento global. Pouco importa que os registros de tempe32 raturas, feitos com termômetros (pouco afeitos a ideologias), apontem que a temperatura média do planeta 33 já subiu 0,9C entre 1880 e 2017. Pouco importa que 17 dos 18 anos mais quentes nos 138 anos de regis34 tros tenham acontecido depois de 2001, ou que 2016 tenha sido o ano mais quente de todos os registros. 35 O sujeito espera a primeira brisa gelada soprar para dizer “cadê o aquecimento global?”. É dramático, e se 36 trata de um problema que está ganhando proporções cada vez maiores. Não é mais algo só de WhatsApp. 37 Isso também está na fala do ministro das relações exteriores.
38 Só vamos desarmar essa arapuca se encontrarmos uma base comum de fatos objetivos com os quais 39 todo mundo possa concordar: a ciência. E não porque ela seja moralmente ou ideologicamente superior. 40 Mas porque ela se aceita como falível. Porque está fundamentada na dúvida, não na certeza. E a certeza 41 inabalável, imune aos fatos, é o caminho mais curto para o retrocesso.
(Adaptado de: NOGUEIRA, S. O obscurantismo do século 21. Superinteressante, São Paulo: Abril, ed. 398, 3 jan. 2019. Disponível em: https://super.abril.com.br/opiniao/o-obscurantismo-do-seculo-21/. Acesso em: 21 jun. 2019.)
Em relação ao termo “Obscurantismo do século 21”, assinale a alternativa que apresenta, corretamente, a que ele se relaciona.
Provas
Uma pessoa digitou um texto no Microsoft Word o qual contém 2 parágrafos. Cada parágrafo possui uma formatação diferente do outro. Deseja-se aplicar ao segundo parágrafo a mesma formatação do primeiro. Assinale a alternativa que apresenta, corretamente, a ferramenta do Word que deve ser utilizada para realizar tal tarefa.
Provas

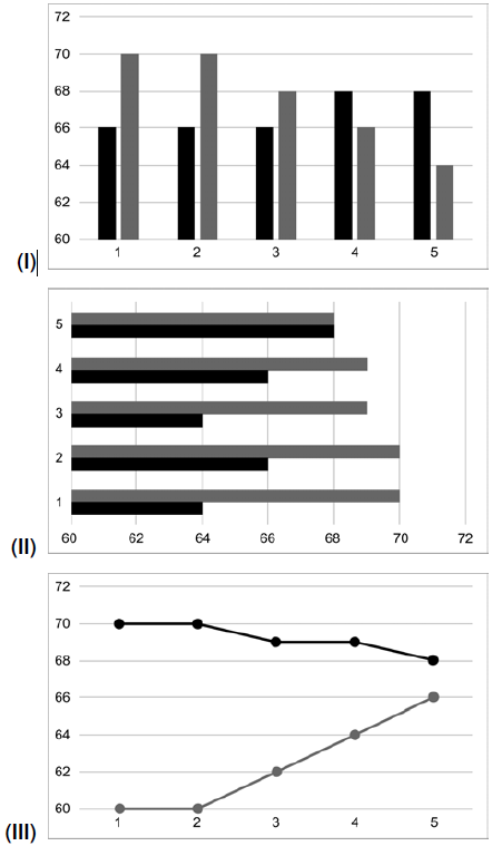
A partir dos dados da planilha alguns gráficos, cujas legendas foram removidas, podem ser gerados. Com base nessa informação, relacione os gráficos, na coluna da esquerda, com os intervalos de dados que geram esses gráficos, na coluna da direita.


(A) A3:F4
(B) A3:F3 e A7:F7
(C) A6:F6 e A8:F8
(D) A5:F5 e A7:F7
(E) A4:F5
Assinale a alternativa que contém a associação correta.
Provas
Uma das atribuições do técnico de enfermagem é a prestação de cuidados e, para isto, é necessário realizar algumas técnicas básicas de Enfermagem. Sobre tais técnicas, considere as afirmativas a seguir.
I. A aplicação de calor provoca a contração dos vasos sanguíneos e impede a formação de hematomas e abcessos.
II. Em pacientes com sondas nasogástricas, devem ser realizadas a higiene oral e a lubrificação dos lábios, no mínimo, três vezes ao dia para evitar o desconforto.
III. O cateterismo vesical consiste na introdução de um cateter estéril na bexiga, pela uretra, com a finalidade de drenar urina, podendo ser de alívio ou de demora.
IV. Para infundir 500ml de solução glicosada (SG) a 5%, em 8 horas, o gotejamento é de 21 gotas.
Assinale a alternativa correta.
Provas
Em relação ao tratamento nutricional do diabetes tipo 2, atribua V (verdadeiro) ou F (falso) às afirmativas a seguir.
( ) A frutose deve ser usada como adoçante em bebidas quentes ou frias, ou em preparações culinárias doces.
( ) A quantidade de gordura total da dieta deverá ser de 40% do VET, sendo < 7% de AGS e < 200 mg de colesterol.
( ) A quantidade de carboidratos não deve ser inferior a 130 g/dia, representando 45 – 60% do VET diário.
( ) A quantidade de sacarose não deve ultrapassar 5% do total de CHO previsto para a utilização diária.
( ) A quantidade de álcool permitida para o paciente diabético é de uma dose para mulheres (150 ml vinho) e duas doses para homens (300 ml vinho).
Assinale a alternativa que contém, de cima para baixo, a sequência correta.
Provas
Em relação ao funcionamento do lactário, considere as afirmativas a seguir.
I. A temperatura recomendada para a lavagem de mamadeiras e utensílios em equipamentos deverá ser de 55 a 65C.
II. Para a lavagem dos bicos, deve-se virá-los do avesso e, com uma escova própria, esfregar para retirar a sujidade.
III. A desinfecção química é considerada um método de limpeza de nível baixo, e devem-se usar 50 ppm de hipoclorito de sódio para ser efetiva.
IV. A formação de biofilme nas mamadeiras e utensílios de inox acontecerá se a diluição do hipoclorito não for realizada adequadamente.
Assinale a alternativa correta.
Provas
Sobre a organização e o funcionamento da cozinha, relacione as características esperadas de higiene e da construção da área física, na coluna da esquerda, com as diversas áreas da cozinha, na coluna da direita.
(I) Porta com fechamento automático. (A) Reservatório de água
(II) Devem ser protegidas contra explosão e queda. (B) Caixas de gordura
(III) Deve ser higienizado no intervalo de até 6 meses. (C) Sanitários
(IV) Devem ser providas de telas removíveis para facilitar a limpeza. (D) Luminárias
(V) Limpeza periódica e descarte adequado de rejeitos, localizada fora da área de preparo.(E) Janelas
Assinale a alternativa que contém a associação correta.
Provas
Pesquisa: brasileiros buscam mais a alimentação saudável.
Seguindo a tendência mundial por uma rotina mais saudável, o brasileiro está mudando seus hábitos alimentares dentro de casa. De acordo com dados levantados pela Kantar Worldpanel, 27% dos lares declaram ter feito mudanças na alimentação, aumentando o consumo de frutas, sucos naturais e diminuindo o consumo de carne vermelha, açúcar e refrigerante, por exemplo.
Em linha com essa tendência, o estudo revela que 389 mil domicílios deixaram de comprar açúcar refinado no ano passado. Presente em 51,8% dos lares, o produto teve queda de 0,4% em volume e 19% em valor na comparação com 2017. Por outro lado, a versão demerara, menos refinada e sem aditivo químico, saltou de 6,9% para 10,6% de penetração no mesmo período, ou seja, ganhou mais de 2 milhões de domicílios compradores em 2018. Volume e valor também se destacaram positivamente, com alta de, respectivamente, 50,4% e 44,8%.
Ainda com forte presença no país, as carnes também foram impactadas pelos novos comportamentos dos consumidores. Todas – bovina, frango e suína – apresentaram queda de volume em 2018 na comparação com o ano anterior. No entanto, dos lares que declaram ter feito mudanças nos hábitos alimentares, 50% deles dizem ter diminuído o consumo das carnes vermelhas.
Entrando na casa de 97% da população, os refrigerantes também viram o número de compradores cair de 2017 para 2018: 222 mil domicílios deixaram de colocar a bebida na despensa. O mesmo ocorreu com o leite UHT, que perdeu 611 mil lares no período. Por outro lado, produtos zero lactose começam a ganhar força. De acordo com a pesquisa, 20% das famílias já compraram algum produto zero lactose. A categoria de leites sem lactose, por exemplo, cresceu 7,9% em volume e 12,6% em valor.
“Já faz algum tempo que a saudabilidade tem sido um fator importante na hora das compras não só no Brasil, mas em todo o mundo. Agora, o movimento ganha mais força. A entrada de produtos como o açúcar demerara e zero lactose na lista de compras revela um consumidor mais atento e alinhado às preocupações globais com a saúde”, afirma Giovanna Fischer, Diretora de Marketing e Consumer Insights da Kantar Worldpanel.
(Adaptado de: http://www.asbran.org.br/noticias.php?dsid=1881 Publicado em: 12/03/2019. Acesso em: 31 maio 2019.)
Acerca da linguagem utilizada no texto, considere as afirmativas a seguir.
I. Apresenta marcas de discurso direto.
II. É formal, com trechos descritivos que auxiliam sua leitura.
III. É informal, com passagens narrativas que veiculam marcas da oralidade.
IV. Predomina a linguagem técnica.
Assinale a alternativa correta.
Provas
OMS alerta para o risco do consumo de gordura trans.
Em um informe divulgado em Genebra, na Suíça, a Organização Mundial da Saúde (OMS) alertou que ao menos 5 bilhões de pessoas em todo o mundo convivem com os riscos de desenvolver doenças associadas ao uso das gorduras trans industriais. Segundo a entidade, o ingrediente industrial causa cerca de 500 mil mortes a cada ano.
Presentes principalmente – mas não só – em produtos industrializados, como sorvetes, margarina, cremes vegetais, batatas fritas, salgadinhos de pacote, bolos, biscoitos e gorduras hidrogenadas, as gorduras trans são um tipo de gordura que se forma por um processo natural ou industrial que transforma óleos vegetais líquidos em gordura sólida. Usadas para melhorar a consistência dos alimentos e para aumentar o prazo de validade de alguns produtos industriais, as gorduras trans podem causar o aumento do colesterol total e do colesterol ruim (LDL).
Segundo a OMS, alguns países estão adotando medidas para restringir o uso das gorduras trans, mas é preciso fazer muito mais. “O impulso para a eliminação global da gordura trans produzida industrialmente está crescendo, com quase um terço da população mundial já protegida, em 28 países”, disse o diretor-geral da OMS, Tedros Adhanom Ghebreyesus.“Mas mais de dois terços da população mundial ainda carece de proteção contra a gordura trans industrial em seus alimentos”, acrescentou Ghebreyesus, afirmando que a OMS está pronta para apoiar as Nações em seus esforços para eliminar as gorduras trans.
De acordo com a organização, o Brasil figura ao lado de outros 25 países que adotam medidas para incentivar os consumidores a fazer escolhas mais saudáveis em relação aos alimentos e bebidas industrializadas. Estão nesse grupo de países que, segundo a OMS, promovem uma dieta saudável a fim de prevenir a obesidade e doenças crônicas não transmissíveis (DCNT) relacionadas à má alimentação Bélgica, China, Espanha, França, Suécia, Reino Unido, entre outros, como os sul-americanos Bolívia, Paraguai e Uruguai.
O monitoramento global indica que são os países com maior renda que têm liderado os esforços políticos para que as gorduras trans sejam erradicadas. Nenhum país de baixa renda e apenas três países de renda média-baixa (Índia, Quirguistão e Uzbequistão) têm políticas antigorduras trans.
Eliminar esses ingredientes da produção industrial de alimentos é uma das prioridades da OMS e uma das metas do programa geral que norteia as ações a serem desenvolvidas pela organização até 2023. Este mês, a OMS apresentou, em seu site, uma série de medidas para orientar os governos, a indústria e a sociedade a substituir as gorduras trans por componentes mais saudáveis. Entre as medidas propostas estão a reformulação, pela indústria alimentícia, das receitas de produção.
No site do Ministério da Saúde também é possível acessar uma cartilha, o Guia Alimentar para a População Brasileira, lançado em 2014, com dicas e recomendações para uma alimentação saudável, saborosa e balanceada.
(Adaptado de: RODRIGUES, A. Publicado em 22/05/2019. Disponível em: http://www.cfn.org.br/index.php/oms-alerta-para-o-riscodo- consumo-de-gordura-trans/. Acesso em: 30 maio 2019.)
Em relação aos recursos linguístico-semânticos e de pontuação usados no terceiro parágrafo do texto, assinale a alternativa correta.
Provas
Caderno Container