Foram encontradas 70 questões.

Sobre a charge acima foram feitas várias afirmativas.
I. A charge critica vários setores da sociedade, inclusive o cidadão comum.
II. As vestimentas dos personagens da charge colaboram essencialmente para a sua identificação.
III. Como a leitura da charge se processa da esquerda para a direita, a última fala ganha mais importância que as demais.
Assinale:
Provas
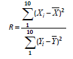
Uma amostra X1 , X2 , ... X10 , de tamanho 10, de uma variável populacional !$ N (\mu_x, \sigma^2_x) !$) será observada e uma amostra Y1 , Y2 , ... Y10 , de tamanho 10, de uma variável populacional !$ N (\mu_x, \sigma^2_y) !$, independente da amostra X, será também observada. O problema é testar !$ H_0 : \sigma^2_x \le \sigma^2_y !$ contra !$ H_1 : \sigma^2_x > \sigma^2_y !$.
Para tal, será usada a estatística de teste a seguir

e um critério de decisão que rejeita a hipótese nula se R > k.
Ao nível de significância de 5%, k é igual a
Provas
Suponha que X1 , X2 , ... Xn seja uma amostra aleatória de uma Poisson com média !$ \theta !$ (!$ \theta !$ > 0). Suponha ainda que a distribuição a priori de !$ \theta !$ seja uma distribuição gama com parâmetros !$ a !$ e !$ \beta !$ (!$ a !$ > 0 e !$ \beta !$ > 0).
Nesse caso, a distribuição a posteriori de !$ \theta !$ dado Xi = xi (i = 1, ..., n) é
Provas
Lembremos que se X 1 , X 2 , ... X n é uma amostra aleatória de uma distribuição uniforme no intervalo (0, !$ \theta !$) e se quisermos testar H 0: !$ \theta !$ < 1 contra H 1: !$ \theta !$ > 1, o teste uniformemente mais poderoso de tamanho !$ a !$ rejeitará H se y n > k, em que y n denota a n-ésima estatística de ordem, ou seja, rejeitará H0 se y n = máx {xi} > k.
Assim, k é igual a
Provas
Observe a amostra a seguir:
1,2 1,7 2,1 2,2 2,2 2,3 2,4 2,4 2,5 2,5 2,5 2,5 2,6 2,7 2,8
3,0 3,0 3,5 3,8 4,5 6,0 6,8 7,5 7,5 7,6 7,8 8,0 8,0 8,2 10,0
Supondo um eixo cartesiano horizontal usual, o Box-plot correspondente a esses dados é melhor representado por:
Provas
Em relação à amostragem estratificada, assinale a afirmativa incorreta.
Provas
Na amostragem por conglomerados, a eficiência de um conglomerado depende do grau de similaridade de seus elementos.
Assim, torna-se importante criar medidas que indiquem o grau de similaridade dos elementos dentro dos conglomerados.
Uma medida muito usada é
Provas
Avalie se as distribuições de probabilidade a seguir pertencem à família exponencial.
I. Gaussiana inversa parâmetros !$ \mu !$ e !$ \sigma^2 !$.
II. Poisson parâmetro !$ \lambda !$.
III. Uniforme no intervalo [0, !$ \theta !$].
Assinale
Provas
Avalie se os modelos a seguir são casos particulares de Modelos Lineares Generalizados.
I. Modelo de regressão linear clássico.
II. Modelos de análise de variância e covariância.
III. Modelo de regressão logística.
Assinale:
Provas
Uma reta de regressão linear simples foi ajustada por mínimos quadrados e os resíduos !$ e_i= y_i - \widehat {y}_i !$ foram computados:
0,1 0,5 1,2 0,4 0,8 1,0 1,0 0,6
Supondo que os resíduos são normalmente distribuídos com média 0 e variância !$ \sigma^2 !$, a estimativa de !$ \sigma^2 !$ é igual a
Provas
Caderno Container