Foram encontradas 70 questões.
Safety Meeting Presentation
The modal auxiliary in boldface conveys the idea of obligation in the fragment: Today's meeting is really about you. I can stand
in front of you and talk about working safely and what
procedures to follow until I'm blue in the face. But until
you understand the need for working safely, until you
are willing to be responsible for your safety, it doesn't
mean a whole lot.
Some of you may be familiar with OSHA - the Occupational Safety & Health Administration. The sole purpose of this agency is to keep American workers safe. Complying with OSHA regulations isn't always easy, but if we work together, we can do it. Yet, complying with regulations is not the real reason for working safely. Our real motive is simple. We care about each and every one of you and will do what is necessary to prevent you from being injured.
However, keeping our workplace safe takes input from everyone. Management, supervisor, and all of you have to come together on this issue, or we're in trouble. For example, upper management has to approve the purchase of safe equipment. Supervisors, including myself, have to ensure that each of you knows how to use that equipment safely. Then it's up to you to follow through the task and use the equipment as you were trained. If any one part of this chain fails, accidents are going to happen and people are going to get hurt.
Responsibility Number One - Recognize Hazards
At the core of your safety responsibilities lies the task of recognizing safety and health hazards. In order to do that, you must first understand what constitutes a hazard. Extreme hazards are often obvious. Our hopes are that you won't find too many of those around here.
There are, however, more subtle hazards that won't jump up and bite you. As a result of your safety training and meetings like these, some things may come to mind. For example, a machine may not be easy to lock out. Common practice may be to use a tag. This is a potential hazard and should be discussed. Maybe something can be changed to make it easier to use a lock. Other subtle hazards include such things as frayed electrical cords, a loose machine guard, a cluttered aisle, or maybe something that just doesn't look right.
Responsibility Number Two - Report Hazards
A big part of recognizing hazards is using your instincts. Nobody knows your job as well as you do, so we're counting on you to let us know about possible problems. Beyond recognizing hazards, you have to correct them or report them to someone who can. This too, is a judgement call. For example, if something spills in your work area you can probably clean it up yourself. However, if there is an unlabeled chemical container and you have no idea what it is, you should report it to your supervisor.
Additional Employee Responsibilities
Good housekeeping is a major part of keeping your work area safe. For example, you should take a few minutes each day to ensure that aisles, hallways, and stairways in your work area are not obstructed. If boxes, equipment, or anything else is left to pile up, you have a tripping hazard on your hands. Those obstructions could keep you from exiting the building quickly and safely should you face an emergency situation.
Also watch out for spills. These can lead to slips and falls. Flammable materials are another thing to be aware of. Make sure they are disposed of properly.
Keep Thinking. Even if you're doing your job safely and you are avoiding hazards, there are often even better ways to work safely. If you have ideas for improving the safety of your job or that of co-workers, share them.
Concluding Remarks
While nothing we do can completely eliminate the threat of an incident, we can work together to improve our odds. As I said, this must be a real team effort and I'm counting on input from all of you. Let's keep communicating and continue to improve safety.
Available at: <http://www.ncsu.edu/ehs/www99/right/training/meeting/emplores.html>.Retrieved on: April 1st, 2012. Adapted.
Some of you may be familiar with OSHA - the Occupational Safety & Health Administration. The sole purpose of this agency is to keep American workers safe. Complying with OSHA regulations isn't always easy, but if we work together, we can do it. Yet, complying with regulations is not the real reason for working safely. Our real motive is simple. We care about each and every one of you and will do what is necessary to prevent you from being injured.
However, keeping our workplace safe takes input from everyone. Management, supervisor, and all of you have to come together on this issue, or we're in trouble. For example, upper management has to approve the purchase of safe equipment. Supervisors, including myself, have to ensure that each of you knows how to use that equipment safely. Then it's up to you to follow through the task and use the equipment as you were trained. If any one part of this chain fails, accidents are going to happen and people are going to get hurt.
Responsibility Number One - Recognize Hazards
At the core of your safety responsibilities lies the task of recognizing safety and health hazards. In order to do that, you must first understand what constitutes a hazard. Extreme hazards are often obvious. Our hopes are that you won't find too many of those around here.
There are, however, more subtle hazards that won't jump up and bite you. As a result of your safety training and meetings like these, some things may come to mind. For example, a machine may not be easy to lock out. Common practice may be to use a tag. This is a potential hazard and should be discussed. Maybe something can be changed to make it easier to use a lock. Other subtle hazards include such things as frayed electrical cords, a loose machine guard, a cluttered aisle, or maybe something that just doesn't look right.
Responsibility Number Two - Report Hazards
A big part of recognizing hazards is using your instincts. Nobody knows your job as well as you do, so we're counting on you to let us know about possible problems. Beyond recognizing hazards, you have to correct them or report them to someone who can. This too, is a judgement call. For example, if something spills in your work area you can probably clean it up yourself. However, if there is an unlabeled chemical container and you have no idea what it is, you should report it to your supervisor.
Additional Employee Responsibilities
Good housekeeping is a major part of keeping your work area safe. For example, you should take a few minutes each day to ensure that aisles, hallways, and stairways in your work area are not obstructed. If boxes, equipment, or anything else is left to pile up, you have a tripping hazard on your hands. Those obstructions could keep you from exiting the building quickly and safely should you face an emergency situation.
Also watch out for spills. These can lead to slips and falls. Flammable materials are another thing to be aware of. Make sure they are disposed of properly.
Keep Thinking. Even if you're doing your job safely and you are avoiding hazards, there are often even better ways to work safely. If you have ideas for improving the safety of your job or that of co-workers, share them.
Concluding Remarks
While nothing we do can completely eliminate the threat of an incident, we can work together to improve our odds. As I said, this must be a real team effort and I'm counting on input from all of you. Let's keep communicating and continue to improve safety.
Available at: <http://www.ncsu.edu/ehs/www99/right/training/meeting/emplores.html>.Retrieved on: April 1st, 2012. Adapted.
Provas
Questão presente nas seguintes provas
Safety Meeting Presentation
'Until I'm blue in the face' in the fragment “I can stand in front of you and talk about working safely and what procedures to follow until I'm blue in the face." (lines 1-3) is substituted, without change in meaning, by 'until I Today's meeting is really about you. I can stand
in front of you and talk about working safely and what
procedures to follow until I'm blue in the face. But until
you understand the need for working safely, until you
are willing to be responsible for your safety, it doesn't
mean a whole lot.
Some of you may be familiar with OSHA - the Occupational Safety & Health Administration. The sole purpose of this agency is to keep American workers safe. Complying with OSHA regulations isn't always easy, but if we work together, we can do it. Yet, complying with regulations is not the real reason for working safely. Our real motive is simple. We care about each and every one of you and will do what is necessary to prevent you from being injured.
However, keeping our workplace safe takes input from everyone. Management, supervisor, and all of you have to come together on this issue, or we're in trouble. For example, upper management has to approve the purchase of safe equipment. Supervisors, including myself, have to ensure that each of you knows how to use that equipment safely. Then it's up to you to follow through the task and use the equipment as you were trained. If any one part of this chain fails, accidents are going to happen and people are going to get hurt.
Responsibility Number One - Recognize Hazards
At the core of your safety responsibilities lies the task of recognizing safety and health hazards. In order to do that, you must first understand what constitutes a hazard. Extreme hazards are often obvious. Our hopes are that you won't find too many of those around here.
There are, however, more subtle hazards that won't jump up and bite you. As a result of your safety training and meetings like these, some things may come to mind. For example, a machine may not be easy to lock out. Common practice may be to use a tag. This is a potential hazard and should be discussed. Maybe something can be changed to make it easier to use a lock. Other subtle hazards include such things as frayed electrical cords, a loose machine guard, a cluttered aisle, or maybe something that just doesn't look right.
Responsibility Number Two - Report Hazards
A big part of recognizing hazards is using your instincts. Nobody knows your job as well as you do, so we're counting on you to let us know about possible problems. Beyond recognizing hazards, you have to correct them or report them to someone who can. This too, is a judgement call. For example, if something spills in your work area you can probably clean it up yourself. However, if there is an unlabeled chemical container and you have no idea what it is, you should report it to your supervisor.
Additional Employee Responsibilities
Good housekeeping is a major part of keeping your work area safe. For example, you should take a few minutes each day to ensure that aisles, hallways, and stairways in your work area are not obstructed. If boxes, equipment, or anything else is left to pile up, you have a tripping hazard on your hands. Those obstructions could keep you from exiting the building quickly and safely should you face an emergency situation.
Also watch out for spills. These can lead to slips and falls. Flammable materials are another thing to be aware of. Make sure they are disposed of properly.
Keep Thinking. Even if you're doing your job safely and you are avoiding hazards, there are often even better ways to work safely. If you have ideas for improving the safety of your job or that of co-workers, share them.
Concluding Remarks
While nothing we do can completely eliminate the threat of an incident, we can work together to improve our odds. As I said, this must be a real team effort and I'm counting on input from all of you. Let's keep communicating and continue to improve safety.
Available at: <http://www.ncsu.edu/ehs/www99/right/training/meeting/emplores.html>.Retrieved on: April 1st, 2012. Adapted.
Some of you may be familiar with OSHA - the Occupational Safety & Health Administration. The sole purpose of this agency is to keep American workers safe. Complying with OSHA regulations isn't always easy, but if we work together, we can do it. Yet, complying with regulations is not the real reason for working safely. Our real motive is simple. We care about each and every one of you and will do what is necessary to prevent you from being injured.
However, keeping our workplace safe takes input from everyone. Management, supervisor, and all of you have to come together on this issue, or we're in trouble. For example, upper management has to approve the purchase of safe equipment. Supervisors, including myself, have to ensure that each of you knows how to use that equipment safely. Then it's up to you to follow through the task and use the equipment as you were trained. If any one part of this chain fails, accidents are going to happen and people are going to get hurt.
Responsibility Number One - Recognize Hazards
At the core of your safety responsibilities lies the task of recognizing safety and health hazards. In order to do that, you must first understand what constitutes a hazard. Extreme hazards are often obvious. Our hopes are that you won't find too many of those around here.
There are, however, more subtle hazards that won't jump up and bite you. As a result of your safety training and meetings like these, some things may come to mind. For example, a machine may not be easy to lock out. Common practice may be to use a tag. This is a potential hazard and should be discussed. Maybe something can be changed to make it easier to use a lock. Other subtle hazards include such things as frayed electrical cords, a loose machine guard, a cluttered aisle, or maybe something that just doesn't look right.
Responsibility Number Two - Report Hazards
A big part of recognizing hazards is using your instincts. Nobody knows your job as well as you do, so we're counting on you to let us know about possible problems. Beyond recognizing hazards, you have to correct them or report them to someone who can. This too, is a judgement call. For example, if something spills in your work area you can probably clean it up yourself. However, if there is an unlabeled chemical container and you have no idea what it is, you should report it to your supervisor.
Additional Employee Responsibilities
Good housekeeping is a major part of keeping your work area safe. For example, you should take a few minutes each day to ensure that aisles, hallways, and stairways in your work area are not obstructed. If boxes, equipment, or anything else is left to pile up, you have a tripping hazard on your hands. Those obstructions could keep you from exiting the building quickly and safely should you face an emergency situation.
Also watch out for spills. These can lead to slips and falls. Flammable materials are another thing to be aware of. Make sure they are disposed of properly.
Keep Thinking. Even if you're doing your job safely and you are avoiding hazards, there are often even better ways to work safely. If you have ideas for improving the safety of your job or that of co-workers, share them.
Concluding Remarks
While nothing we do can completely eliminate the threat of an incident, we can work together to improve our odds. As I said, this must be a real team effort and I'm counting on input from all of you. Let's keep communicating and continue to improve safety.
Available at: <http://www.ncsu.edu/ehs/www99/right/training/meeting/emplores.html>.Retrieved on: April 1st, 2012. Adapted.
Provas
Questão presente nas seguintes provas

Provas
Questão presente nas seguintes provas
Safety Meeting Presentation
The pronoun “those" in the sentence “Our hopes are that you won't find too many of those around here." (lines 32-33) refers to Today's meeting is really about you. I can stand
in front of you and talk about working safely and what
procedures to follow until I'm blue in the face. But until
you understand the need for working safely, until you
are willing to be responsible for your safety, it doesn't
mean a whole lot.
Some of you may be familiar with OSHA - the Occupational Safety & Health Administration. The sole purpose of this agency is to keep American workers safe. Complying with OSHA regulations isn't always easy, but if we work together, we can do it. Yet, complying with regulations is not the real reason for working safely. Our real motive is simple. We care about each and every one of you and will do what is necessary to prevent you from being injured.
However, keeping our workplace safe takes input from everyone. Management, supervisor, and all of you have to come together on this issue, or we're in trouble. For example, upper management has to approve the purchase of safe equipment. Supervisors, including myself, have to ensure that each of you knows how to use that equipment safely. Then it's up to you to follow through the task and use the equipment as you were trained. If any one part of this chain fails, accidents are going to happen and people are going to get hurt.
Responsibility Number One - Recognize Hazards
At the core of your safety responsibilities lies the task of recognizing safety and health hazards. In order to do that, you must first understand what constitutes a hazard. Extreme hazards are often obvious. Our hopes are that you won't find too many of those around here.
There are, however, more subtle hazards that won't jump up and bite you. As a result of your safety training and meetings like these, some things may come to mind. For example, a machine may not be easy to lock out. Common practice may be to use a tag. This is a potential hazard and should be discussed. Maybe something can be changed to make it easier to use a lock. Other subtle hazards include such things as frayed electrical cords, a loose machine guard, a cluttered aisle, or maybe something that just doesn't look right.
Responsibility Number Two - Report Hazards
A big part of recognizing hazards is using your instincts. Nobody knows your job as well as you do, so we're counting on you to let us know about possible problems. Beyond recognizing hazards, you have to correct them or report them to someone who can. This too, is a judgement call. For example, if something spills in your work area you can probably clean it up yourself. However, if there is an unlabeled chemical container and you have no idea what it is, you should report it to your supervisor.
Additional Employee Responsibilities
Good housekeeping is a major part of keeping your work area safe. For example, you should take a few minutes each day to ensure that aisles, hallways, and stairways in your work area are not obstructed. If boxes, equipment, or anything else is left to pile up, you have a tripping hazard on your hands. Those obstructions could keep you from exiting the building quickly and safely should you face an emergency situation.
Also watch out for spills. These can lead to slips and falls. Flammable materials are another thing to be aware of. Make sure they are disposed of properly.
Keep Thinking. Even if you're doing your job safely and you are avoiding hazards, there are often even better ways to work safely. If you have ideas for improving the safety of your job or that of co-workers, share them.
Concluding Remarks
While nothing we do can completely eliminate the threat of an incident, we can work together to improve our odds. As I said, this must be a real team effort and I'm counting on input from all of you. Let's keep communicating and continue to improve safety.
Available at: <http://www.ncsu.edu/ehs/www99/right/training/meeting/emplores.html>.Retrieved on: April 1st, 2012. Adapted.
Some of you may be familiar with OSHA - the Occupational Safety & Health Administration. The sole purpose of this agency is to keep American workers safe. Complying with OSHA regulations isn't always easy, but if we work together, we can do it. Yet, complying with regulations is not the real reason for working safely. Our real motive is simple. We care about each and every one of you and will do what is necessary to prevent you from being injured.
However, keeping our workplace safe takes input from everyone. Management, supervisor, and all of you have to come together on this issue, or we're in trouble. For example, upper management has to approve the purchase of safe equipment. Supervisors, including myself, have to ensure that each of you knows how to use that equipment safely. Then it's up to you to follow through the task and use the equipment as you were trained. If any one part of this chain fails, accidents are going to happen and people are going to get hurt.
Responsibility Number One - Recognize Hazards
At the core of your safety responsibilities lies the task of recognizing safety and health hazards. In order to do that, you must first understand what constitutes a hazard. Extreme hazards are often obvious. Our hopes are that you won't find too many of those around here.
There are, however, more subtle hazards that won't jump up and bite you. As a result of your safety training and meetings like these, some things may come to mind. For example, a machine may not be easy to lock out. Common practice may be to use a tag. This is a potential hazard and should be discussed. Maybe something can be changed to make it easier to use a lock. Other subtle hazards include such things as frayed electrical cords, a loose machine guard, a cluttered aisle, or maybe something that just doesn't look right.
Responsibility Number Two - Report Hazards
A big part of recognizing hazards is using your instincts. Nobody knows your job as well as you do, so we're counting on you to let us know about possible problems. Beyond recognizing hazards, you have to correct them or report them to someone who can. This too, is a judgement call. For example, if something spills in your work area you can probably clean it up yourself. However, if there is an unlabeled chemical container and you have no idea what it is, you should report it to your supervisor.
Additional Employee Responsibilities
Good housekeeping is a major part of keeping your work area safe. For example, you should take a few minutes each day to ensure that aisles, hallways, and stairways in your work area are not obstructed. If boxes, equipment, or anything else is left to pile up, you have a tripping hazard on your hands. Those obstructions could keep you from exiting the building quickly and safely should you face an emergency situation.
Also watch out for spills. These can lead to slips and falls. Flammable materials are another thing to be aware of. Make sure they are disposed of properly.
Keep Thinking. Even if you're doing your job safely and you are avoiding hazards, there are often even better ways to work safely. If you have ideas for improving the safety of your job or that of co-workers, share them.
Concluding Remarks
While nothing we do can completely eliminate the threat of an incident, we can work together to improve our odds. As I said, this must be a real team effort and I'm counting on input from all of you. Let's keep communicating and continue to improve safety.
Available at: <http://www.ncsu.edu/ehs/www99/right/training/meeting/emplores.html>.Retrieved on: April 1st, 2012. Adapted.
Provas
Questão presente nas seguintes provas
Se T: ℝn ℝm é uma transformação linear sobrejetora, que não é injetora, então, tem-se
Provas
Questão presente nas seguintes provas
Dentre todas as retas tangentes ao gráfico da função f: ℝ-ℝ definida por f(x) = e
x . (x2 + 1), qual é aquela que possui o menor coeficiente angular?
Provas
Questão presente nas seguintes provas
A fim de modelar a forma de uma das pilastras que sustenta uma obra de arte, um engenheiro utilizou o sólido do ℝ
3 que é limitado superiormente pelo paraboloide z = 2.(x2 + y2 ), lateralmente pelo cilindro x2 + y2 = 2y e, inferiormente, pelo plano xy.
Qual é o volume do sólido utilizado pelo engenheiro para modelar a forma da referida pilastra?
Qual é o volume do sólido utilizado pelo engenheiro para modelar a forma da referida pilastra?
Provas
Questão presente nas seguintes provas
48
Se, para dados n, m ∈ , o limite
? é finito e não nulo, então seu valor deve ser igual a
? é finito e não nulo, então seu valor deve ser igual aProvas
Questão presente nas seguintes provas
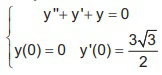
Se y: ℝ -> ℝ é a solução do problema de valor inicial
,quanto vale y(2)
,quanto vale y(2)
Provas
Questão presente nas seguintes provas

Se F:ℝ 2-ℝ2 é o campo vetorial definido por F (x,y) = (2x + 2y2 , 3y2 + 4xy + 1) e α [a,b] ℝ2 é uma curva simples e diferenciável, tal que a(a) = (0,0), a(b) = (3,4), cujo traço é indicado na figura acima, então o valor da integral de linha do campo vetorial F sobre a curva a, dada por ∫F(α(t))α`(t)dt=∫ab2x+2y2)dx+(3y2+4xy+1)dy é
Provas
Questão presente nas seguintes provas
Cadernos
Caderno Container