Foram encontradas 50 questões.
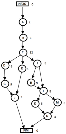
As técnicas denominadas PERT (Program Evaluation and Review Technique) e CPM (Critical Path Method) foram independentemente desenvolvidas para o Planejamento e Controle de Projetos em torno de 1950, sendo utilizado nos projetos de construção civil. Um exemplo clássico de aplicação de PERT/CPM é o planejamento e o gerenciamento da construção civil. O gráfico abaixo representa as fases de execução de um projeto dado em semanas. O caminho crítico da rede abaixo é:

Provas
Você é o engenheiro responsável pelo acompanhamento das obras de concreto no câmpus da Universidade Federal da Grande Dourados e detectou falha no concreto através de segregação em uma viga/pilar/laje/parede e optou por fazer a correção através de graute de base cimento. Leia as alternativas e assinale a incorreta:
Provas
Em função de suas propriedades, o cobre e o alumínio são os metais mais utilizados na fabricação de fios e cabos elétricos. Em geral, as linhas de transmissão de energia são construídas em alumínio (devido a sua menor densidade), e as instalações elétricas internas domiciliares (de baixa tensão) são de cobre (devido a sua maior flexibilidade). De acordo com a NBR 5410 (ABNT, 2004d), que trata de instalações elétricas de baixa tensão, não é indicado o uso de alumínio em instalações residenciais. Diante do exposto, em relação aos condutores elétricos, em geral, qual é a alternativa incorreta?
Provas
Um dos sistemas mais utilizados nos modernos projetos em estrutura metálica é a Estrutura em Quadro com Pórticos Rígidos, que são formadas por ligações rígidas em vigas e colunas pré-determinadas que, aliadas às lajes, concedem estabilidade ao conjunto como um todo. Diante do exposto, é correto afirmar que:
Provas
Assinale a alternativa INCORRETA.
Provas
Considere as afirmações abaixo sobre segurança na Internet:
I. Cookies sempre devem ser bloqueados no navegador pois eles funcionam como spyware.
II. Um firewall protege a rede de uma empresa de ataques externos.
III. Phishing são tentativas de se obter informações confidenciais por indivíduos que falsificam suas identidades.
IV. Seu computador nunca será infectado por uma mensagem de correio eletrônico se você não abrir arquivos anexos.
Estão corretas apenas as afirmações:
Provas
Considere as afirmações abaixo sobre o Microsoft Word.
I. Em um documento, o texto pode ser formatado em, no máximo, três colunas.
II. Em cabeçalhos e rodapés, é possível formatar o texto emmais de uma coluna.
III. É possível adicionar uma coluna a uma tabela que já foi criada e preenchida com dados.
IV. Nas versões 2007 e 2010, o modo de visualização rascunho permite visualizar uma quebra de seção.
Estão corretas apenas as afirmações:
Provas
Considere as afirmações abaixo:
I. Mouse, teclado, scanner, plotter e webcam são exemplos de dispositivos de entrada de dados de um sistema de computação.
II. A memória volátil do computador é utilizada para armazenar os programas que estão sendo executados no computador em um dado instante.
III. A tecnologia Bluetooth utiliza um conector do tipo DB25 para conectar um dispositivo móvel a um computador.
IV. A velocidade de transmissão de uma rede de computadores é medida em bits por segundo.
Estão corretas apenas as afirmações:
Provas
Considere as afirmações abaixo sobre o Microsoft Excel.
I. Se você não salvar sua planilha e seu computador for desligado acidentalmente, você sempre conseguirá recuperar todos os dados digitados na próxima vez que você iniciar o Excel.
II. Você pode ter cabeçalho e rodapé personalizados para cada página impressa.
III. Quando uma fórmula que possui apenas referências absolutas é copiada para outra célula, as referências não são modificadas para refletir a nova posição da fórmula.
IV. Você pode selecionar apenas células adjacentes em uma planilha.
Estão corretas apenas as afirmações:
Provas
A Lei n. 9.784/99 estabelece as normas básicas sobre o processo administrativo no âmbito da Administração Federal, visando, em especial, à proteção dos direitos dos administrados e ao melhor cumprimento dos fins da Administração. Com base nesta lei, são deveres do administrado perante a Administração, EXCETO:
Provas
Caderno Container