Foram encontradas 230 questões.
Assinale a opção que, em álgebra relacional, representa uma projeção:
Provas
Questão presente nas seguintes provas
Atenção! Para responder a questão, identifique a referência CORRETA segundo NBR 6023:
Anais de congresso
Provas
Questão presente nas seguintes provas
Assinale a alternativa CORRETA com relação ao modelo espiral.
Provas
Questão presente nas seguintes provas
Pode-se afirmar que quando o leite é submetido ao aquecimento e quando ocorre a formação de grumos ou flocuação:
Provas
Questão presente nas seguintes provas
As hortaliças minimamente processadas são produtos prontos para o consumo e devem estar livres de patógenos. Para que isto ocorra, pode-se afirmar que:
Provas
Questão presente nas seguintes provas
Na pasteurização de leite fluído, podemos afirmar que o binômio temperatura e tempo recomendado na legislação é:
Provas
Questão presente nas seguintes provas
Associe o número da porta TCP com a sua descrição e assinale a alternativa que descreve corretamente essa relação.
| Porta | |
| I | 25 |
| II | 21 |
| III | 23 |
| IV | 80 |
| Descrição | |
| 1 | SMTP |
| 2 | FTP |
| 3 | Servidor da Web (HTTP) |
| 4 | Servidor de telnet |
Provas
Questão presente nas seguintes provas
Para que o educador seja capaz de pensar a realidade educativa e pedagógica de forma consistente e rigorosa deve assumir uma postura histórica no campo da educação, isso porque:
Provas
Questão presente nas seguintes provas
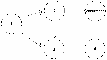
A figura abaixo representa o Diagrama de Estado de uma transação. Os números 1, 2, 3 e 4 podem ser substituídos respectivamente por:

Provas
Questão presente nas seguintes provas
Os estudos que visam à determinação da biodisponibilidade de nutrientes necessitam de técnicas padronizadas. Quanto à metodologia utilizada em tais estudos, analise as assertivas descritas abaixo.
I. Marcação da dieta e monitoramento fecal.
II. Teste de glicemia de jejum.
III. Curvas de aparecimento no plasma.
IV. Marcação da água.
Assinale a alternativa CORRETA.
Provas
Questão presente nas seguintes provas
Cadernos
Caderno Container