Foram encontradas 653 questões.
Considere uma construtora que vende cada casa por R$ 60.000,00, ao custo variável unitário de R$ 30.000,00, com custo fixo anual de R$ 1.200.000,00, dos quais, R$ 200.000,00 são de depreciação. Ainda, considere que o patrimônio líquido no início do ano era de R$ 10.000.000,00, a rentabilidade mínima esperada é de 15% a.a. e, por simplificação, não há dívidas ou tributação sobre a renda.
Nesse caso, se essa construtora estiver produzindo e vendendo, por ano,
Provas
Qual o principal problema quando se utiliza herança múltipla em C++?
Provas
Na linguagem C++ qual dos operadores a seguir NÃO pode ser sobrecarregado?
Provas
Em tempos de ensino remoto uma importante ferramenta no auxílio das atividades acadêmicas foi o Google Meet. Sobre essa ferramenta é correto afirmar que
Provas
Sobre a ISO 27001:2005 e a ISO 27001:2013 é correto afirmar que
Provas
Considere o programa em Ladder apresentado a seguir.

É correto afirmar que assim que o
Provas
Na tentativa de se fazer uma média móvel dos três últimos valores de uma medição de temperatura, dois programas diferentes foram implementados em Texto Estruturado.
Programa 1)
MEDIA := (SENSOR + S2 + S3)/3;
S3 := S2;
S2 := SENSOR;
Programa 2)
MEDIA := 0;
FOR Index := 0 TO 2 DO
MEDIA := MEDIA + SENSOR;
END_FOR;
MEDIA := MEDIA/3;
Sobre esses programas é correto afirmar que
Provas
Qual função de transferência a seguir é estável?
Provas
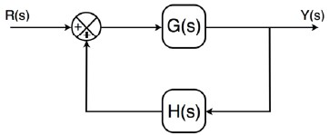
Considere o diagrama de controle na figura a seguir.

A equação que representa corretamente a relação entre a entrada e a saída deste sistema é
Provas
Existem alguns métodos de processamento para cerâmicas e vidros e, dentre estes métodos descritos a seguir, são formas de processá-los, EXCETO
Provas
Caderno Container