Foram encontradas 50 questões.
Provas
Provas
Louis De Broglie (1892-1987) durante o seu doutoramento em física na Universidade de ParisSorbonne sugeriu que o elétron, em seu movimento ao redor do núcleo, tinha associado a ele um comprimento de onda particular e introduziu o termo ondas de matéria para descrever as características ondulatórias das partículas materiais. Com base no comportamento ondulatório da matéria, o comprimento de onda de De Broglie de um elétron com velocidade de 5,97 x 106 m.s-1 é:
Dados:
Massa do elétron = 9,11 x 10-28 g;
constante de Planck, h = 6,63 x 10-34 J.s
1J = 1 kg m2 .s-2
Provas
Provas
Provas
Provas
- Química OrgânicaFunções Nitrogenadas: Amina, Amida, Nitrila, Isonitrila e Nitro Composto
- Química OrgânicaFunções Oxigenadas: Cetona, Aldeído, Éter, Éster, Ácido Carboxílico etc.
- Química OrgânicaHidrocarbonetos
- Química OrgânicaIsomeria Plana e Espacial
- Química OrgânicaReações OrgânicasReações Orgânicas: Substituição, Adição e Eliminação

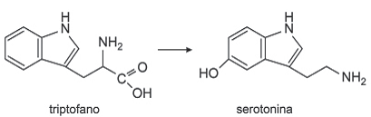
A Figura a cima apresente uma reação de conversão de triptofano em serotonina. Com relação a essas duas substâncias e ao processo metabólico em que elas estão envolvidas, é CORRETO afirmar que:
Provas
- Química CinéticaVelocidade de Reação, Energia de Ativação e Catalisadores
- Química OrgânicaHidrocarbonetos
- Química OrgânicaReações OrgânicasReações Orgânicas: Substituição, Adição e Eliminação
Provas
Considerando a molécula genérica a seguir, indique quantos modos fundamentais de vibração no infravermelho essa molécula pode apresentar:

Provas
Suponha que a constante de velocidade para uma reação gasosa bimolecular está de acordo com a equação de Arrhenius:
k=Aℯ-Ea/RT
Indique qual das ações abaixo resultará em uma constante de velocidade menor para a reação em questão.Provas
Caderno Container