Foram encontradas 50 questões.
Provas
Provas

Com base na Figura anterior é CORRETO afirmar que se trata de uma análise de:
Provas
- Química CinéticaVelocidade de Reação, Energia de Ativação e Catalisadores
- Transformações Químicas e EnergiaTermoquímica
Provas
- Química OrgânicaCadeias Carbônicas
- Química OrgânicaIsomeria Plana e Espacial
- Química OrgânicaReações OrgânicasReações Orgânicas: Substituição, Adição e Eliminação
- Química OrgânicaTipos de Reagentes e Mecanismos das Reações Orgânicas

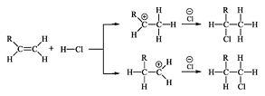
Com relação à figura anterior é possível dizer que:
Provas
- Química OrgânicaCadeias Carbônicas
- Química OrgânicaReações OrgânicasReações Orgânicas: Substituição, Adição e Eliminação
- Química OrgânicaTipos de Reagentes e Mecanismos das Reações Orgânicas

Com relação à figura anterior, marque a alternativa CORRETA.
Provas
Em um processo reversível, a variação no sistema é feita de tal maneira que ele possa ser restaurado ao seu estado original exatamente pela reversão da variação. Um exemplo de processo reversível que ocorre a temperatura constante, no qual as fases estão em equilíbrio, é a água entrando em ebulição a 100º C. Qual a variação de entropia quando 1 mol de água for convertido em 1 mol de vapor a 1 atm de pressão?
Dado: ΔHvaporização (H2O) = +40,67 kJ mol-1
Provas
Provas
- ProlegômenosPrincípios da Administração PúblicaPrincípios Expressos
- ProlegômenosRegime Jurídico Administrativo
- Agentes PúblicosCargos, Empregos e Funções PúblicasFormas de Provimento
- Lei 8.112/1990: RJU
- Lei 8.429/1992: LIA
( ) A Administração Pública Direta e Indireta deve considerar na prática dos atos administrativos os princípios da legalidade, pessoalidade, moralidade, publicidade e eficiência. ( ) O servidor público estável perderá o cargo em virtude de sentença penal condenatória. ( ) Se um servidor público estável tiver seu cargo extinto, ficará em disponibilidade e terá garantida remuneração até seu adequado aproveitamento em outro cargo. ( ) Como condição para a aquisição da estabilidade, o servidor público poderá ter que se submeter a avaliação de desempenho. ( ) Sem prejuízo da ação penal cabível, os atos de improbidade administrativa acarretarão na suspensão dos direitos políticos, na perda da função pública, na indisponibilidade dos bens e no ressarcimento ao erário.
Provas
Provas
Caderno Container