Foram encontradas 480 questões.
Observe as seguintes Informações Nutricionais presentes nos rótulos de dois diferentes tipos de pão de forma (A e B.)
| Informação Nutricional Porção de 50 g | ||
| Quantidade por porção | Pão A | Pão B |
| Valor Energético Carboidratos Proteínas Gorduras Totais Fibra Alimentar Sódio | 120 kcal 24 g 3,3 g 1,1 g 1,4 g g 3,8 g Sódio | 112 kcal 14 g 10 g 1,5 g 3,8 g 204 mg |
Sobre esses dois tipos de pães, pode-se afirmar que
Provas
Questão presente nas seguintes provas
Leia as afirmações sobre resolução de problemas.
I. No processo de ensino e aprendizagem, conceitos, ideias e métodos matemáticos devem ser abordados mediante a exploração de problemas, ou seja, de situações em que os alunos precisem desenvolver algum tipo de estratégia para resolvê-las.
II. Só há problema se o aluno for levado a interpretar o enunciado da questão que lhe é posta e a estruturar a situação que lhe é apresentada.
III. A resolução de problemas permite ao aluno apreender conceitos, procedimentos e atitudes matemáticas.
Está correto o que se afirma em
Provas
Questão presente nas seguintes provas
1392858
Ano: 2010
Disciplina: Matemática
Banca: VUNESP
Orgão: Pref. São Bernardo do Campo-SP
Disciplina: Matemática
Banca: VUNESP
Orgão: Pref. São Bernardo do Campo-SP
Provas:
Dona Júlia utiliza, para medir a quantidade de farinha em suas receitas, um copo ou uma xícara. Ela sabe que 3 xícaras equivalem a 2 copos. Certo dia, ao preparar um bolo, dona Júlia começou a medir a farinha com a xícara e, após colocar 2 xícaras de farinha, acidentalmente quebrou a xícara. Sabendo- se que nesse bolo são utilizadas 8 xícaras de farinha, então, o número de copos necessários para completar a receita será
Provas
Questão presente nas seguintes provas
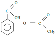
A ilustração a seguir representa a fórmula estrutural do ácido acetilsalicílico, substância largamente utilizada como analgésico e antitérmico.

O número de átomos de carbono, hidrogênio e oxigênio é, respectivamente:
Provas
Questão presente nas seguintes provas
Numa discussão entre professores da EJA, alguns se posicionaram a respeito do ensino de problemas que envolvem adição e subtração para seus alunos.
I. O professor Tomas afirmou que não trabalha com problemas envolvendo adição e subtração, pois estes são para serem ensinados apenas nos quatro primeiros anos do ensino fundamental.
II. O professor Sérgio afirmou que é importante trabalhar com problemas de adição e subtração envolvendo números de qualquer ordem de grandeza.
III. O professor Tadeu afirmou que é importante trabalhar problemas de adição e subtração envolvendo números racionais e também números inteiros.
Sobre as afirmações, é correto afirmar que é verdadeiro apenas o contido em
Provas
Questão presente nas seguintes provas
A professora do 2.º ano B do Ensino Fundamental da Escola Barretinho, apresenta ao diretor as faltas consecutivas do aluno Emiliano, durante os 2.º e 3.º bimestres. Segundo a professora, a família já foi chamada para esclarecer o motivo das ausências, mas não atendeu à convocação. Neste caso, cabe ao diretor da escola
Provas
Questão presente nas seguintes provas
1392764
Ano: 2010
Disciplina: Inglês (Língua Inglesa)
Banca: VUNESP
Orgão: Pref. São Bernardo do Campo-SP
Disciplina: Inglês (Língua Inglesa)
Banca: VUNESP
Orgão: Pref. São Bernardo do Campo-SP
Question comprise a cloze test based on the beginning of an excerpt on lesson planning. For each of the numbered gaps in the following text, choose the alternative that best completes it. You should consider both grammatical correction as well as contextual appropriateness.
Many of the same principles that apply to the selection of materials can be used in designing daily lesson plans: that is, lessons should be planned to include contextualized and personalized practice, small-group interaction, creative language use, culturally authentic listening and reading practice, and functional tasks similar to those that might be encountered in the target culture. The following _______ may help teachers plan more effective lessons.
Consider the content that is to be taught for a given class day. Think in terms of themes, cultural contexts, and functional tasks to be ________ , as well as grammar and vocabulary. Plan a lesson that flows within the contexts you have identified, integrating the grammatical concepts, functions, vocabulary, and cultural information _______ the chapter themes. Choose to embed the practice activity in large discourse units: minidialogues, paragraphs, role-plays, and the ________ . For example, if you plan to teach interrogative words and expressions, consider how students can use questioning strategies to accomplish a real-world task that is coordinated ________ the theme of the unit or chapter.
Consider what students should be able to DO at the end of the class period. Plan activities that will help students _________ functional objectives. Make activities student-centered _______ than teacher -centered; that is, plan practice activities that involve all students actively during the class hour. Students need to use the skills they are learning ________ they are to become more proficient;watching the teacher use the language is not nearly so beneficial to ________ . Small-group work, board work, dictation, paired interviews, and active listening practice are a few of the ________ that require all students to participate simultaneously and actively.
(Adapted from Teaching Language in Context, by Alice C. Omaggio. Boston: Heinle & Heinle Publishers, 1986)
Provas
Questão presente nas seguintes provas
1392700
Ano: 2010
Disciplina: Informática
Banca: VUNESP
Orgão: Pref. São Bernardo do Campo-SP
Disciplina: Informática
Banca: VUNESP
Orgão: Pref. São Bernardo do Campo-SP
Provas:
No Microsoft Windows Vista, em sua configuração padrão, as sucessivas operações de gravação e apagamento de arquivos vão deixando o disco rígido do computador desorganizado, o que pode implicar lentidão de todo o sistema. O nome do programa aplicativo capaz de reorganizar os dados do disco rígido para que esse computador trabalhe de forma mais eficiente é
Provas
Questão presente nas seguintes provas
1392597
Ano: 2010
Disciplina: Direito Educacional e Tecnológico
Banca: VUNESP
Orgão: Pref. São Bernardo do Campo-SP
Disciplina: Direito Educacional e Tecnológico
Banca: VUNESP
Orgão: Pref. São Bernardo do Campo-SP
Os Parâmetros Curriculares Nacionais preconizam como conceitos norteadores para a configuração das propostas educativas
Provas
Questão presente nas seguintes provas
1392591
Ano: 2010
Disciplina: Atualidades e Conhecimentos Gerais
Banca: VUNESP
Orgão: Pref. São Bernardo do Campo-SP
Disciplina: Atualidades e Conhecimentos Gerais
Banca: VUNESP
Orgão: Pref. São Bernardo do Campo-SP
Provas:
O ministro do Exterior da Turquia disse, neste domingo (16.05.2010), que um acordo foi alcançado entre Irã, Turquia e Brasil. O acordo, segundo o chanceler turco, seria suficiente para resolver o impasse entre o Irã e os países do ocidente que pedem nova rodada de sanções da ONU contra o país islâmico.
(http://veja.abril.com.br/noticia/internacional/)
A atuação do Brasil e da Turquia foi no sentido de que o Irã assinasse um acordo
Provas
Questão presente nas seguintes provas
Cadernos
Caderno Container