Foram encontradas 70 questões.
Qual o erro estático de posição do sistema, se a temperatura do forno permanecer constante e o ganho K for dobrado?
Provas
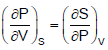
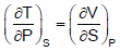
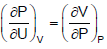
A relação de Maxwell correspondente é
Provas
Qual o limite para o aumento do ganho K, em dB, até que o sistema se torne instável?
Provas
O trabalho realizado e a variação de energia interna nessa transformação em Joule, são, respectivamente,
Dado 1 Pa = 1 N m-2
Provas
Dado Expansão volumétrica = α = 5,0 x 10-5 K-1 Volume específico = v = 0,000114 m3/Kg
Provas
Qual o valor da nova constante de tempo do sistema?
Provas
As equações para a pressão de vapor do NaF sólido e líquido com a pressão são, respectivamente, as seguintes:
Inp =
O calor de fusão, ∆H, do fluoreto de sódio (NaF), no ponto triplo, em KJ, é
Dado pressão na equação em (atm), temperatura na equação em (K) e constante dos gases R = 8,3144 JK-1 mol-1
Provas
The key energy questions for 2018
The renewables industry has had a great year.
How fast can it grow now?

Available at: <https://www.ft.com/content/c9bdc750-
ec85-11e7-8713-513b1d7ca85a>. Retrieved on:
Feb 18, 2018. Adapted.
Provas
The key energy questions for 2018
The renewables industry has had a great year.
How fast can it grow now?

Available at: <https://www.ft.com/content/c9bdc750-
ec85-11e7-8713-513b1d7ca85a>. Retrieved on:
Feb 18, 2018. Adapted.
Provas
The key energy questions for 2018
The renewables industry has had a great year.
How fast can it grow now?

Available at: <https://www.ft.com/content/c9bdc750-
ec85-11e7-8713-513b1d7ca85a>. Retrieved on:
Feb 18, 2018. Adapted.
Provas
Caderno Container