Foram encontradas 440 questões.
A busca pelo entendimento das estruturas moleculares e dos conceitos das ligações químicas têm sido alvo dos pesquisadores há anos. Em 2024, Takeshi Hara e colaboradores (JAC,. 2024, 146, 23825−23830) conseguiram “enxergar a densidade eletrônica de ligações químicas” através dos elétrons de valência das moléculas glicina e citidina, utilizando o síncrotron na técnica de observação. O efeito de ressonância do íon carboxilato, formado pela glicina, foi observado através da igual densidade eletrônica formada entre os dois oxigênios da molécula, como pode ser visto pela imagem abaixo. As regiões mais escuras em torno dos átomos indicam maior densidade eletrônica:

Baseando-se na imagem acima e nos conceitos de ligações químicas e de ácido-base, analise as afirmativas abaixo e assinale a alternativa INCORRETA.
Provas
Através do cálculo da variação de entalpia de formação (ΔHf) de um composto iônico, é possível prever a existência de um determinado composto. A tabela abaixo mostra os valores da entalpia de cada etapa para a possível formação de um composto genérico AB e BA.


Considere as informações do quadro acima e avalie as afirmativas abaixo:
I - O elemento A, provavelmente, pertence ao grupo 2 da tabela periódica.
II - O valor da entalpia de formação do sólido AB é igual a -438 kJ/mol.
III - O fator que governa a formação espontânea do produto AB é entálpico, já que a entropia para a formação de ligação química é desfavorecida.
IV - A entalpia de formação do produto BA seria igual a +695 kJ/mol, considerando o mesmo valor de entalpia de rede da formação de AB. O fator determinante que torna a formação do composto BA não espontânea é a baixa afinidade eletrônica de A.
Assinale a alternativa com as afirmações CORRETAS.
Provas
Considere a distribuição eletrônica dos elementos da família dos metais alcalinos a seguir:
3Li 1s2 2s1
11Na 1s2 2s2 2p6 3s1
19K 1s2 2s2 2p6 3s2 3p6 4s1
37Rb 1s2 2s2 2p6 3s2 3p6 4s2 3d10 4p6 5s1
A parte sublinhada da distribuição dos elementos está relacionada ao efeito de blindagem.
Sobre as propriedades periódicas dos metais alcalinos e de seus compostos, assinale a alternativa CORRETA:
Provas
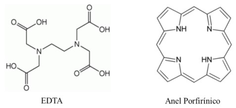
Complexos são termodinamicamente mais estáveis quando formados por agentes quelantes, que são ligantes polidentados, em comparação a um número equivalente de ligantes monodentados. Um exemplo importante na medicina é a aplicação de agentes quelantes para a remoção seletiva de íons metálicos tóxicos como Hg2+ e Pb2+, preservando os metais biologicamente importantes.
As figuras abaixo mostram alguns exemplos de ligantes quelantes:

Com base na estabilidade dos íons complexos e agentes quelantes, analise as afirmações abaixo:
I. A constante de formação do quelato é extremamente alta quando comparada a ligantes monodentado de mesma natureza. Isso se deve à energia livre de Gibbs ser mais negativa, sendo governada pelo efeito entálpico em detrimento ao efeito entrópico.
II. O EDTA é um ácido poliprótico cuja estrutura pode ser dada pela fórmula H4Y, um quelante hexadentado muito utilizado na indústria de alimentos e na medicina. O EDTA forma complexos octaédricos com o centro metálico.
III. Quelatos com íons metálicos das séries mais elevadas tendem a ser mais lábeis, o que pode explicar a preferência de ligantes quelantes por íons como Hg2++ e Pb2+ .
IV. Os anéis porfirínicos possuem 4 pontos de coordenação e formam uma classe de ligantes quelantes, responsável, por exemplo, pela estabilidade do grupo heme, onde o centro metálico é um íon de ferro.
Assinale a alternativa com as afirmações CORRETAS.
Provas
Provas
Os diodos são os dispositivos semicondutores de dois terminais, que caracterizam por ser unidirecionais em corrente, assim são empregados em muitos diferentes circuitos, em circuitos retificadores, circuitos lógicos e em outras inúmeras aplicações providas pelos diodos especiais. Os diodos de sinais caracterizam por trabalhar em baixa potência e frequências mais elevadas. Considere este tipo de diodo como o utilizado e analise as formas de onda apresentadas na figura.
Observação: no gráfico são mostrados o sinal de entrada, que é senoidal, simétrico, 100 Hz de frequência e tensão máxima de 10 V, e o sinal de saída que é apresentado em negrito e identificado como VO1.

Entre seguintes afirmações, qual identifica corretamente o circuito que produz a forma de onda de saída apresentada:
Provas
Disciplina: TI - Organização e Arquitetura dos Computadores
Banca: IF-MG
Orgão: IF-MG
Sobre o paralelismo de instruções, pipelines e arquiteturas superescalares, assinale a alternativa correta:
Provas
Disciplina: TI - Organização e Arquitetura dos Computadores
Banca: IF-MG
Orgão: IF-MG
Sobre as características da arquitetura de conjunto de instruções, podemos concluir que:
I - A Arquitetura do Conjunto de Instruções de uma máquina corresponde aos níveis de linguagem de montagem e de linguagem de máquina.
II - O compilador traduz uma linguagem de alto nível, que é dependente de arquitetura, na linguagem assembly, que é dependente da arquitetura.
III - O montador traduz programas em linguagem assembly em códigos binários executáveis.
IV - A CPU consiste em uma seção de dados que contém registradores e uma ALU, e uma seção de controle, que interpreta instruções e efetua transferências entre registradores.
Assinale a alternativa correta:
Provas
Disciplina: TI - Organização e Arquitetura dos Computadores
Banca: IF-MG
Orgão: IF-MG
Uma grande variedade de técnicas de endereçamento foi desenvolvida para referenciar um grande intervalo de posições da memória principal ou, em alguns sistemas, da memória virtual. Todas as técnicas de endereçamento envolvem algum tipo de troca entre intervalo de endereços e/ou flexibilidade de endereçamento por um lado e o número de referências de memória dentro da instrução e/ou a complexidade de cálculo de endereços por outro. Cada um dos desenhos abaixo representa um tipo de técnica de endereçamento, onde:
A = conteúdo de um campo de endereço dentro da instrução.
R = conteúdo de um campo de endereço dentro da instrução que se refere a um registrador.
Qual tipo de técnica de endereçamento é respectivamente para cada fluxo:

Provas
Disciplina: TI - Organização e Arquitetura dos Computadores
Banca: IF-MG
Orgão: IF-MG
Sobre as linguagens de montagem, pode-se concluir que:
I - Uma linguagem de montagem e uma representação simbólica da linguagem de máquina de um processador específico, acrescida de tipos de instruções adicionais que facilitam a escrita do programa e que fornecem as instruções para o montador.
II - Os programas escritos nas linguagens de montagem são específicos para cada família de microprocessadores, cujas instruções costumam ser definidas pelo próprio fabricante do microprocessador.
III - O código em linguagem de montagem e mais fácil de modificar e manter porque a linguagem permite código não estruturado sendo fáceis de serem entendidos por outras pessoas.
Assinale a alternativa correta:
Provas
Caderno Container